Aplicación de COMSOL Multiphysics® en la cocina
- Detalles
- Categoría: Comsol
- Visto: 1074
Introducción y objetivos
La conductividad eléctrica (EC) de una masa para pastel es una propiedad crítica en procesos de cocción por calentamiento óhmico, ya que determina la distribución de calor y afecta fenómenos como la gelatinización del almidón. Sin embargo, su medición experimental es compleja debido a los gradientes de temperatura que se generan en el dispositivo de medición.
El trabajo desarrollado por Niane y sus colaboradores, titulado “Development of a numerical model for measuring the electrical conductivity (EC) of a cake batter” en la revista “Journal of Food Engineering” de Elsevier presenta el desarrollo de un modelo numérico robusto para estimar la EC de la masa de pastel en función de la temperatura y bajo la influencia de campos eléctricos elevados. Para ello los investigadores utilizaron COMSOL Multiphysics®.
Modelización y simulación numérica
El modelo se desarrolló en COMSOL Multiphysics® usando una geometría bidimensional con simetría axial del dispositivo experimental que se muestra en la Figura 1.
La EC de la masa se modeló como función de la temperatura y del grado de gelatinización del almidón, este último descrito por una cinética de primer orden acoplada a una ley de Arrhenius. La optimización de los parámetros del modelo se realizó mediante el método de Nelder-Mead, comparando perfiles de temperatura experimentales y simulados.
Para optimizar el tiempo de cálculo, se utilizó un modelo bidimensional con simetría axial. La malla consistió en 3648 triángulos, 508 elementos de contorno, 23,274 grados de libertad y una calidad media de malla de 0.812. El tiempo de cálculo requerido fue de 20 segundos, utilizando los siguientes módulos en COMSOL Multiphysics®: Transferencia de Calor, Corriente Eléctrica, Flujo Laminar (para el caso del KCl, donde ocurre convección natural) y Optimización General.

Figura 1. Diagrama de un electrolizador para la electro-hidrogenación directa de tolueno.
Resultados/conclusiones
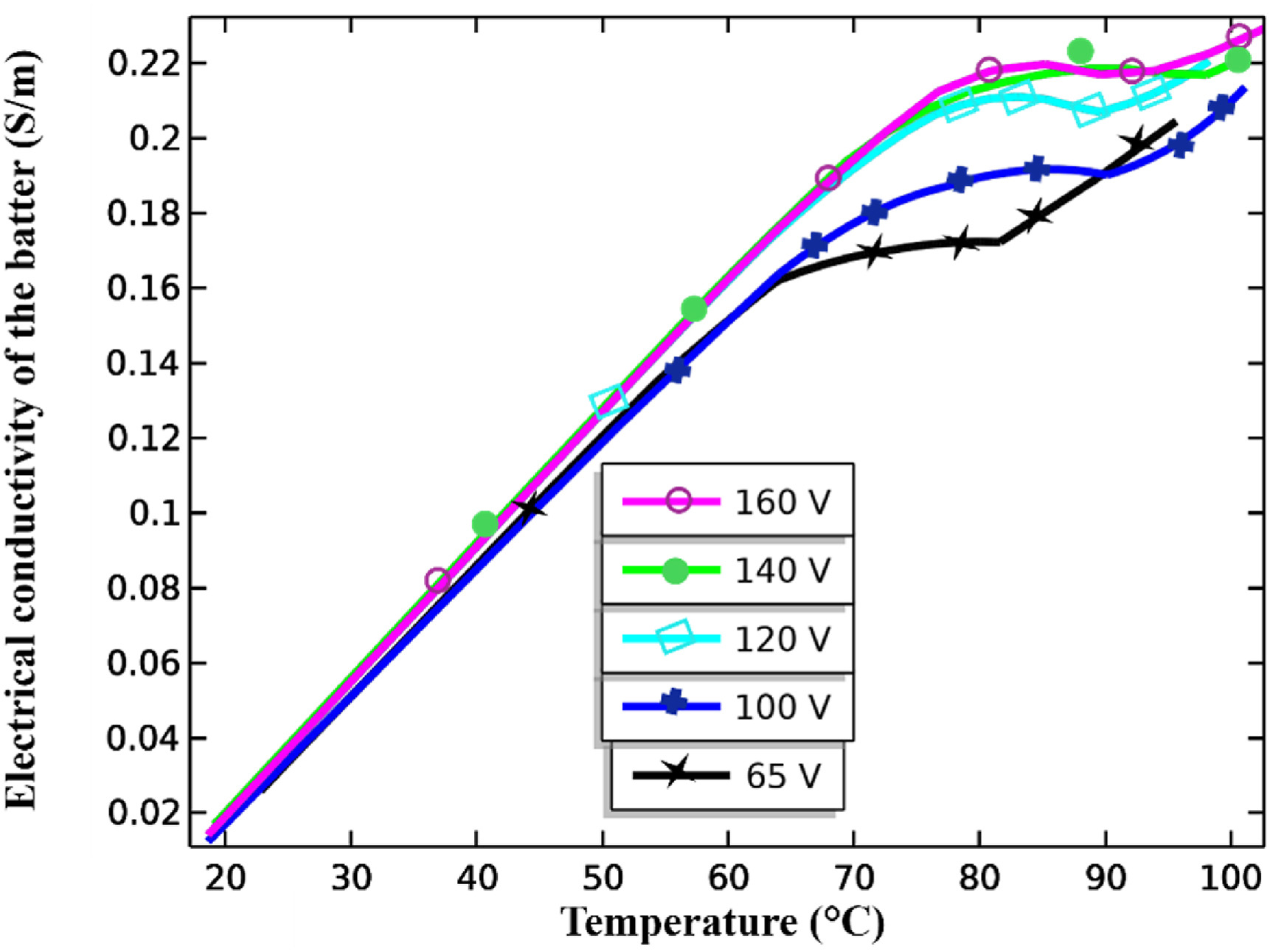
El modelo permitió reproducir con alta precisión los perfiles de temperatura medidos experimentalmente, tal y como se muestra en la Figura 2. La Figura 3 muestra las conductividades eléctricas (EC) de la masa para cada potencial eléctrico. Los resultados muestran que la EC aumentó con el incremento del voltaje. Por último, La Figura 4 muestra la tasa de gelatinización experimental y la obtenida a partir del modelo.

Figura 2. Comparativa entre la temperatura medida y calculada, para distinta cantidad de aditivo.
En definitiva, COMSOL Multiphysics® se muestra como una herramienta poderosa para integrar múltiples fenómenos físicos y validar modelos experimentales complejos, proporcionando información crucial para la optimización de procesos también el ámbito gastronómico.

Figura 3. Conductividad eléctrica de la masa de pastel a diferentes potenciales eléctricos.

Figura 4. tasa de gelatinización experimental y la obtenida a partir del modelo.
Referencias
[1] Niane et al. “Development of a numerical model for measuring the electrical conductivity (EC) of a cake batter”. Journal of Food Engineering (2026) 402 112687.